• Предмет: Геометрия
  • Автор: stastumchack
  • Вопрос задан 2 года назад

Помогите пожалуйста
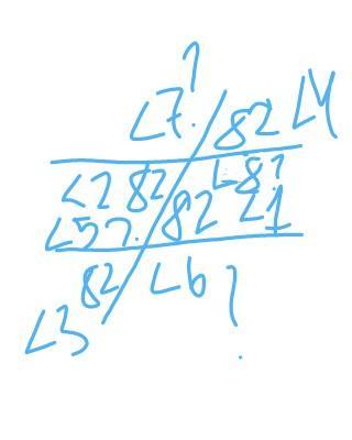
Один з кутів, що утворилися при перетині двох паралельних прямих січною, дорівнює 82°. Знайдіть решту кутів.

Ответы

Ответ дал: vyacheslavovnaaa
3

Ответ:

98°

Объяснение:

На малюнку позначила рівні між собою кути та невідомі ,які можна знайти за прикладом нижче

180-82=98°

Отже,невідомі кути(?) дорівнюють по 98° кожен

Приложения:
Вас заинтересует