• Предмет: Математика
  • Автор: akkwostonovlen
  • Вопрос задан 2 года назад

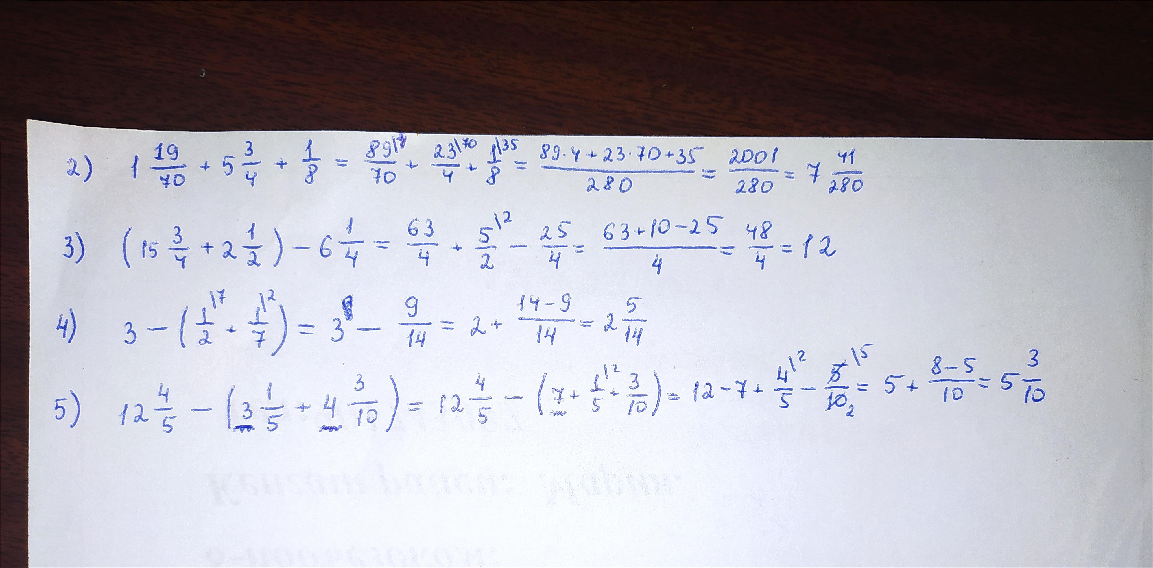
Помогите ПЖ 2-5 решите плиз.Только на листе а то я объяснить не смогу.​

Приложения:

Ответы

Ответ дал: A21YT
1

Ответ:

Все указанно в фотографии, если что нибудь непонятно можешь писать в комментариях

Пошаговое объяснение:



Приложения:

akkwostonovlen: Спасибо тебе брат,я просто уже позабыл и не смог брату объяснить
A21YT: Пожалуйста, обращайтесь
Вас заинтересует