• Предмет: Математика
  • Автор: datsuppp
  • Вопрос задан 2 года назад

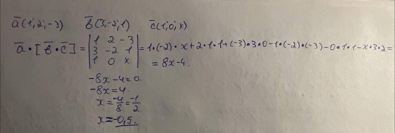
З’ясувати, при якому значенні x вектори a{1;2;-3} b{3;-2;1} c{1;0;x} будуть компланарними

Ответы

Ответ дал: yevheniiavz
1

дивіться фото.........................

Приложения:
Вас заинтересует