• Предмет: Алгебра
  • Автор: tantan2007tania
  • Вопрос задан 2 года назад

Даю 60 балів
Але будь ласка із поясненнями

Приложения:

Ответы

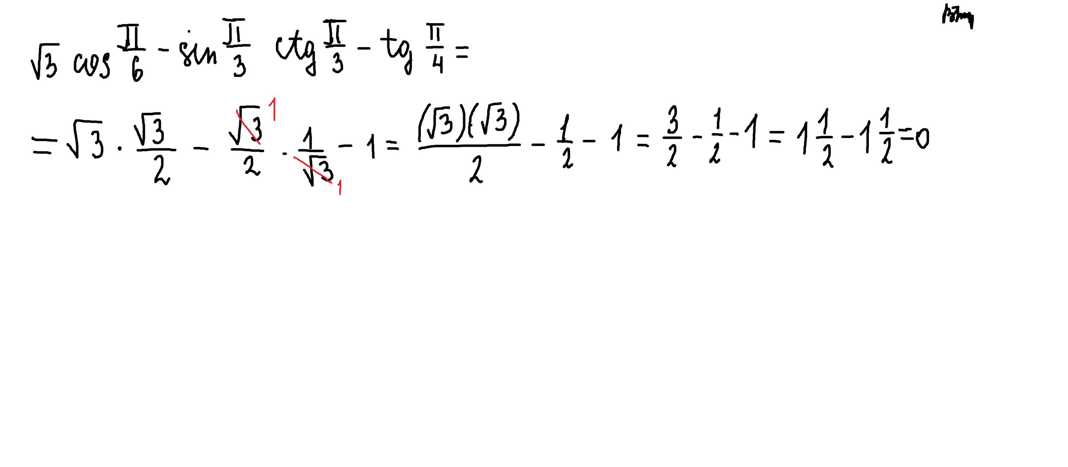
Ответ дал: parus77
2

Ответ:

Объяснение:

таблица и решение внизу,таблицу сохрани,пригодится.

Приложения:
Вас заинтересует