• Предмет: Алгебра
  • Автор: tantan2007tania
  • Вопрос задан 2 года назад

Даю 60 балів
Тільки із поясненнями і розв'язком
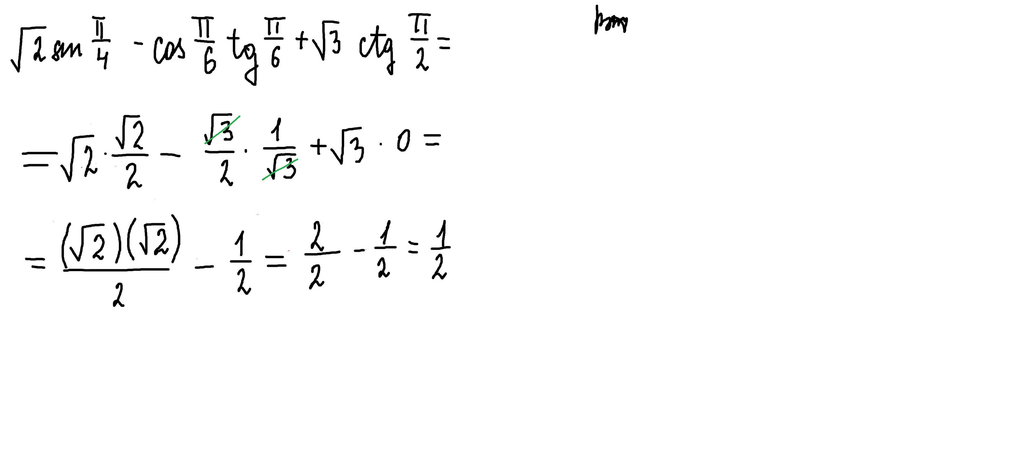
Знайдіть значення виразу

Приложения:

Ответы

Ответ дал: parus77
1

Ответ:

Объяснение:

внизу есть таблица значений тригонометрических функций,смотрим и находим

Приложения:
Вас заинтересует