• Предмет: Математика
  • Автор: katefrog222
  • Вопрос задан 2 года назад

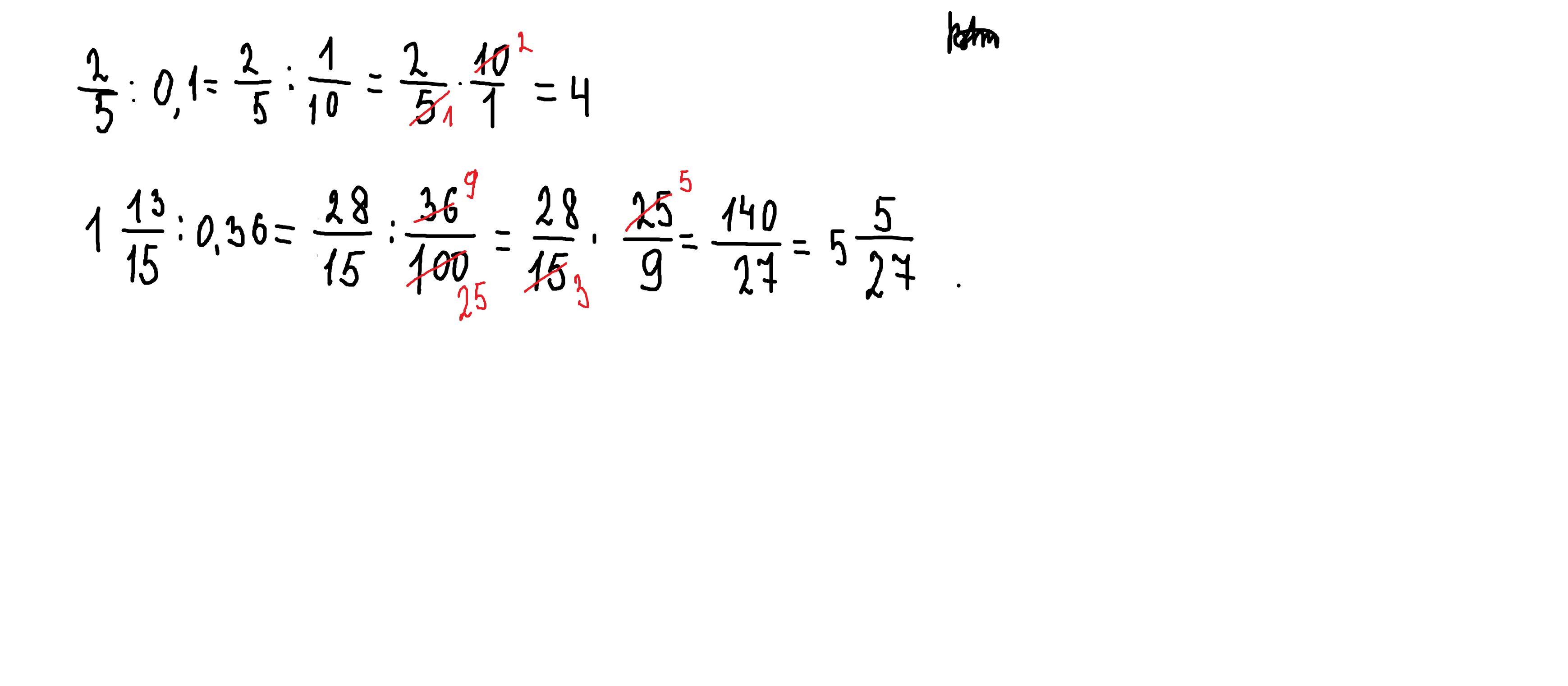
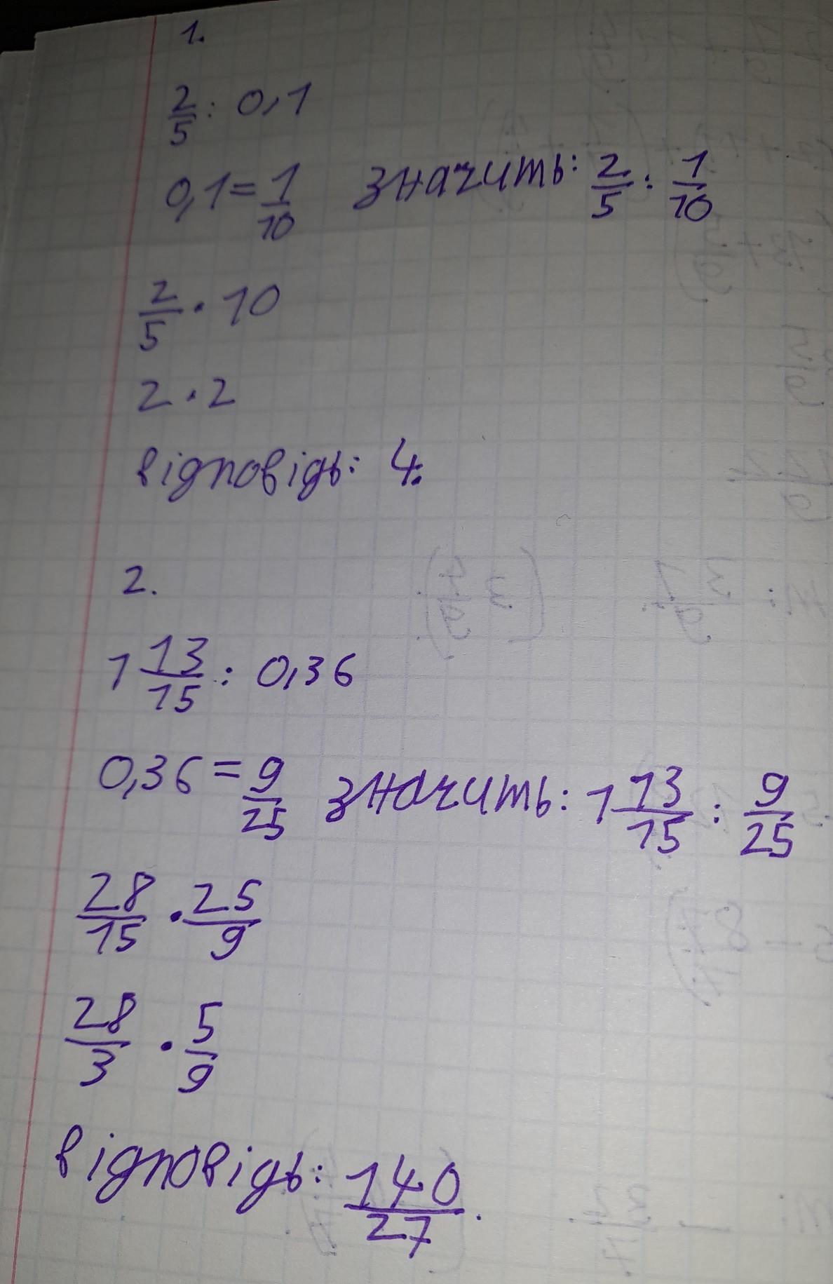
Перетвори десятковий дріб у звичайний, а потім обчисли:1)2/5:0,1 ; 3)1 13/15:0,36​

Ответы

Ответ дал: shorom
0

Ответ:

смотри на фото

Пошаговое объяснение:

подпишись пж

Приложения:
Ответ дал: parus77
1

Ответ:

Пошаговое объяснение:

решение внизу

Приложения:
Вас заинтересует