Ответы
Ответ дал:
1
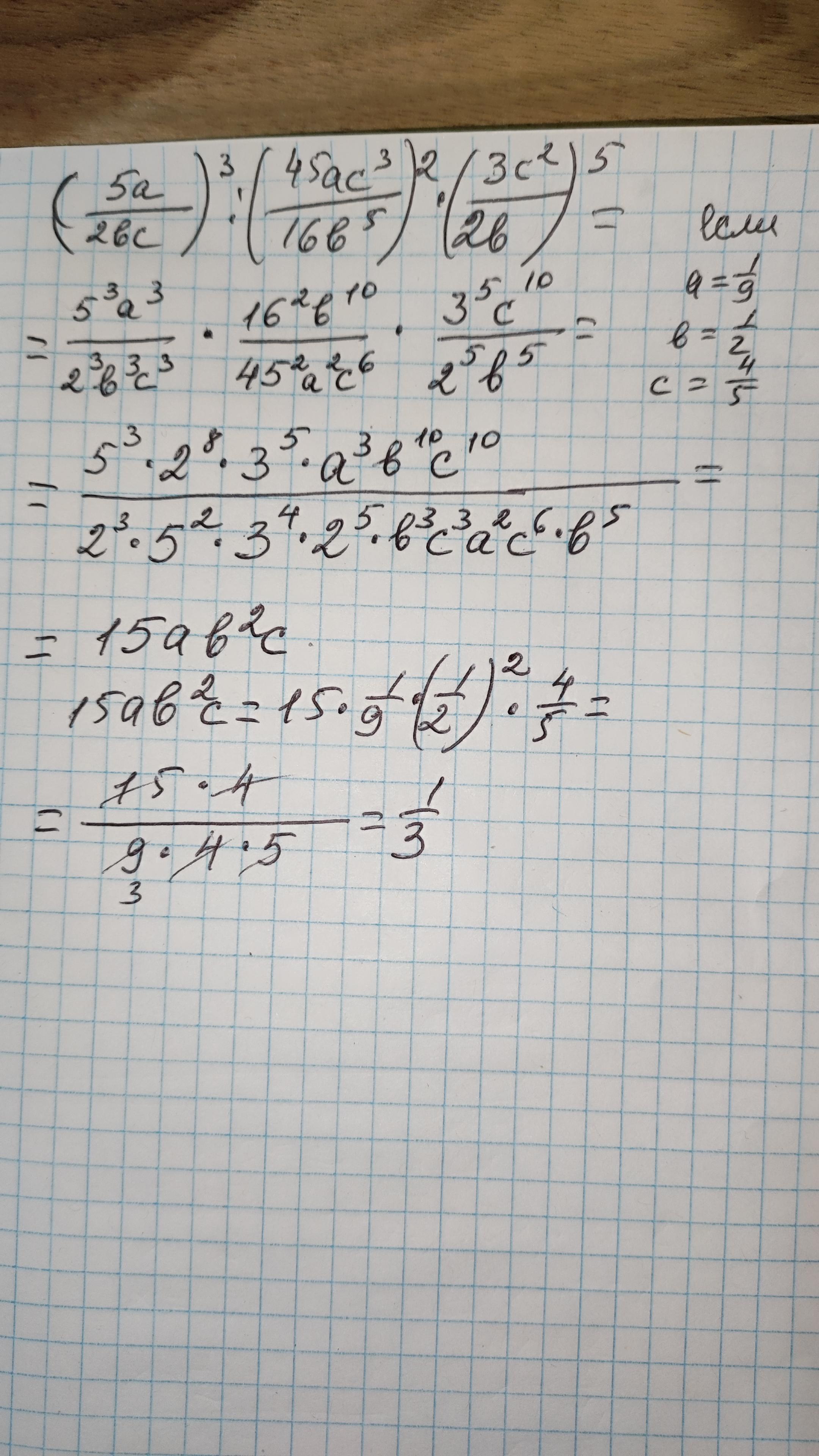
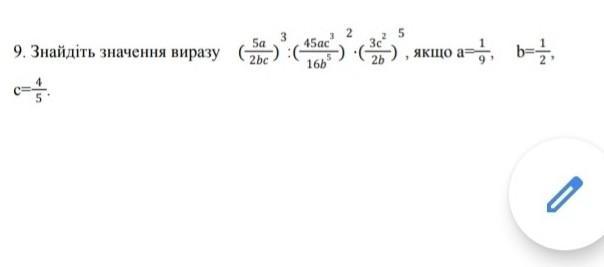
Ответ:вот
Пошаговое объяснение:
Приложения:

daralitvinenko5:
Спасибо большое
Вас заинтересует
1 год назад
1 год назад
3 года назад
8 лет назад