• Предмет: Физика
  • Автор: An1ik333
  • Вопрос задан 2 года назад

ДАЮ 100 БАЛЛОВ!!!!! ДОРЕШИТЕ ЗАДАЧУ ПО ФИЗИКЕ!!!!!!

Приложения:

Ответы

Ответ дал: Cohendd
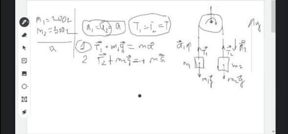
0

Ответ:

Объяснение:.....

Приложения:

Cohendd: Мне баллы не нужны. Но много спамов даже на совсем давние задачи пишут. Проверить все не успеваю. И Вам решила, проверяя новеньких в лучших физиках за 27 ноября.
An1ik333: Все равно спасибо! Вы мне очень помогли. Могу помочь с гуманитарными, точные науки мне не идут
Cohendd: Спасибо)) Возраст. Что могу, нравится, сама смотрю и слушаю. А вот с физикой помочь могу. Пока тел работает и серое вещество. Хотя оно тоже стало подводить...
An1ik333: Я был бы очень рад, если бы вы мне еще раз помогли с физикой. А я в свою услугу могу помочь с гуманитарными, если понадобится. Заранее благодарю
Cohendd: 1 и 3 сделала, а вторую нет. Числа не нравятся. Проверьте, пожалуйста.
Cohendd: Бисмарк любил русское слово "ничего". Хочешь, поищи почему, расскажи своими словами, я тогда задам вопрос))
An1ik333: Спасибо за решение. Увидел ваш комментарий. Оборжался. Пересмотрел числа, все как в задаче. Физик наверное спешил, как черепаха в самолет и просчитался. Все равно спасибо!
Cohendd: Вообще число 72 м/с переправила на 72 км/ч. Все равно неправдоподобно.
Вас заинтересует