Даю 100 балів, тільки поможіть пж!
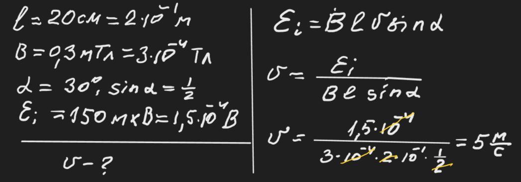
Провідник завдовжки 20 см рухається в однорідному магнітному полі індукцією 0.3 мТл так, що кут між напрямком швидкості руху провідника та напрямком магнітної індукції поля становить 30°. Визначте швидкість руху провідника, якщо в ньому виникає ЕРС індукції 150 мкВ
Ответы
Ответ дал:
0
Відповідь: 5 м/с
Пояснення:
Приложения:

Вас заинтересует
3 года назад
3 года назад