• Предмет: Физика
  • Автор: marina121217
  • Вопрос задан 2 года назад

Поможіть, якщо поможете 100 балів!!
Якщо вирішите задачу врятуєте життя
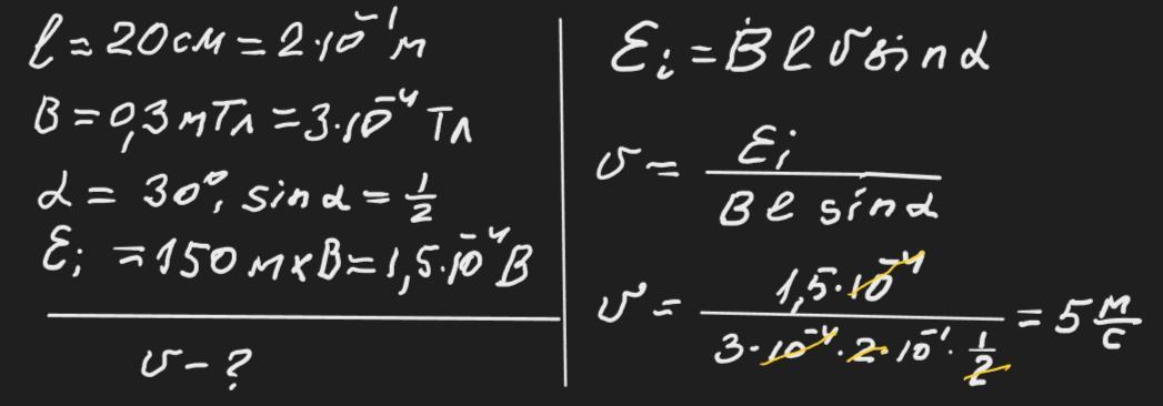
Провідник завдовжки 20 см рухається в однорідному магнітному полі індукцією 0.3 мТл так, що кут між напрямком швидкості руху провідника та напрямком магнітної індукції поля становить 30°. Визначте швидкість руху провідника, якщо в ньому виникає ЕРС індукції 150 мкВ

Ответы

Ответ дал: zybkov1950
0

Відповідь: 5 м/с

Пояснення:

Приложения:
Вас заинтересует