• Предмет: Алгебра
  • Автор: mineplay971
  • Вопрос задан 2 года назад

на решайте мне в падлу

Приложения:

denisboy3003: x=10
denisboy3003: (((
kratonMakuton: Привіт, хто з Оптіми приєднуйтеся до нашого Discord серверу для учнів optima -
discord.gg/optimacommunity
Тут ми спілкуємося і скидаємо відповіді на тести.

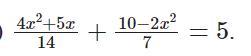
Ответы

Ответ дал: TeaWithMint2000
5

Ответ с решением на фото

Приложения:

TeaWithMint2000: ой стой я не подчеркнул
mineplay971: все равно отличный ответ спасибо
TeaWithMint2000: все теперь готово
Вас заинтересует