Ответы
Ответ дал:
0
Ответ:
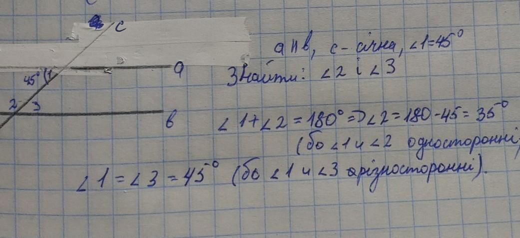
надеюсь смогу помочь. решение смотри на фото. там не только 3 вопроса
Приложения:


zlatakarpenko028:
спасибо
Вас заинтересует
1 год назад
1 год назад
1 год назад
3 года назад
3 года назад
8 лет назад