• Предмет: Алгебра
  • Автор: Miaimi
  • Вопрос задан 2 года назад

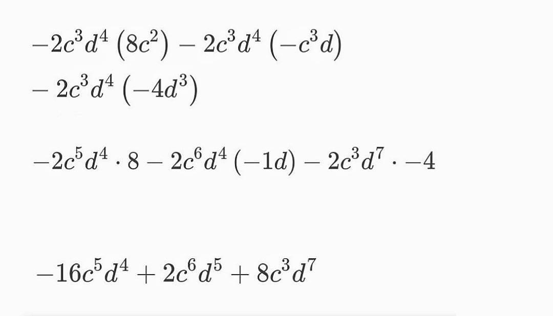
-2c^3d^4(8c^2-c^3d-4d^3) виконайте множення

Ответы

Ответ дал: nolynux
1

Ответ:

відповідь нижче на фото

Приложения:
Вас заинтересует