• Предмет: Алгебра
  • Автор: ororgan21
  • Вопрос задан 2 года назад

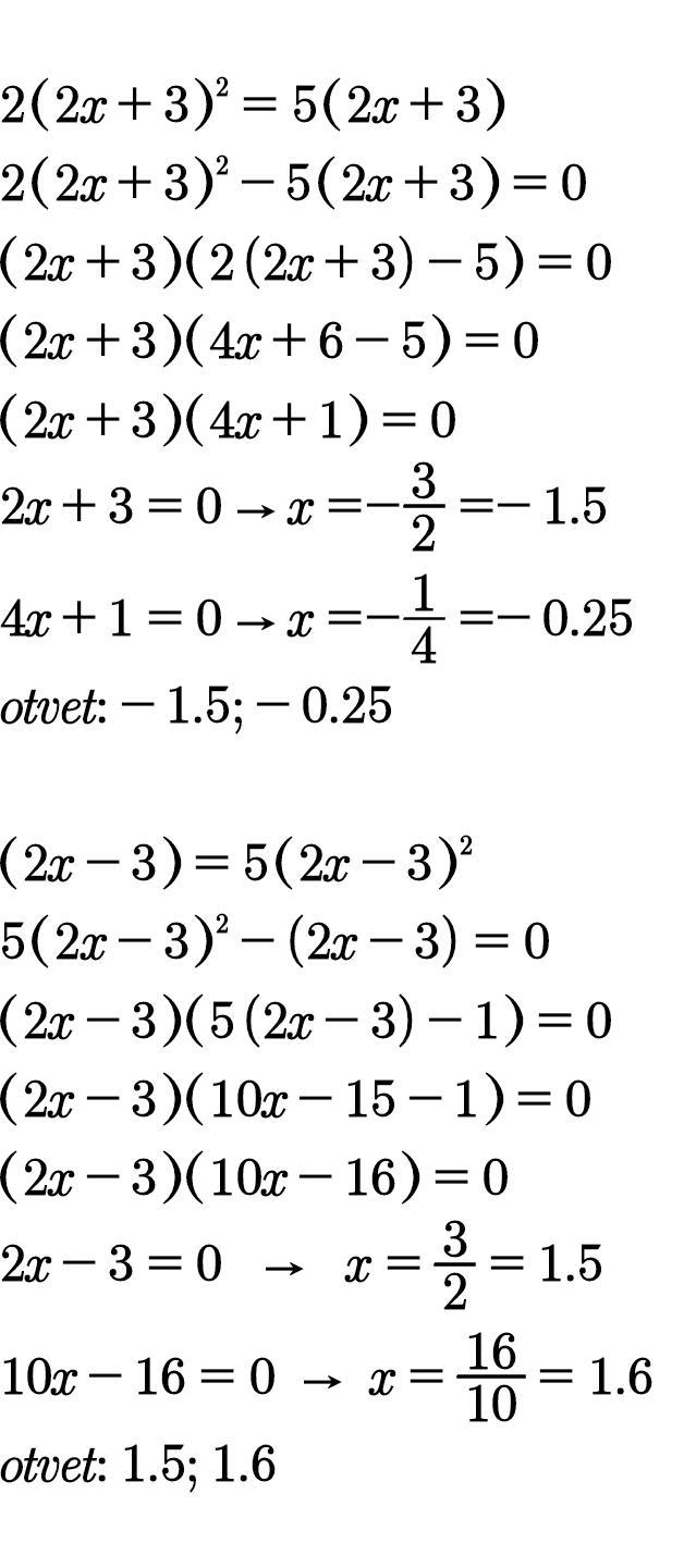
!100баллов! Найдите корни уровнений. 6.17 | 1 и 3 | на фото

Приложения:

Drugprostimena: Правильно написать 50 балов а не 100
ororgan21: я ставлю сто а написано 50

Ответы

Ответ дал: ffedorblackpink
0

Подробное решение каждого уравнения на фото

Приложения:

ororgan21: Это не правильно
ffedorblackpink: Правильно,я уже решал сегодня точно такое же задание
ffedorblackpink: Я решал по всем правилам,а не просто так, все расписал,а не писал краткие решения
Ответ дал: tamarabernukho
0

Ответ:

Объяснение:

.....................................

Приложения:
Вас заинтересует