• Предмет: Алгебра
  • Автор: Людмила2012
  • Вопрос задан 2 года назад

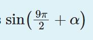
упростить выражение пожалуйста решите

Приложения:

Ответы

Ответ дал: alimak93
3

Упростили выражение...

Приложения:
Вас заинтересует