• Предмет: Физика
  • Автор: buba228228
  • Вопрос задан 2 года назад

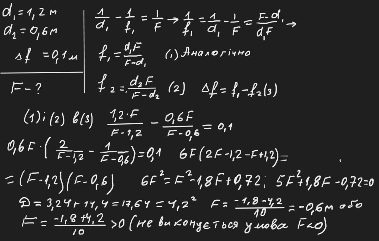
Точкове джерело світла , розміщене на відстані 1.2 м від розсіювальної лінзи, наближають до неї вздовж головної оптичної осі до відстані 0.6 м . При цьому уявне зображення джерела проходить вздовж осі відстань 0.1 м. Знайдіть фокусну відстань лінзи​

Ответы

Ответ дал: zybkov1950
1

Відповідь:  - 0,6 м

Пояснення: Оскільки лінза розсіювальна то F<0

Приложения:
Вас заинтересует