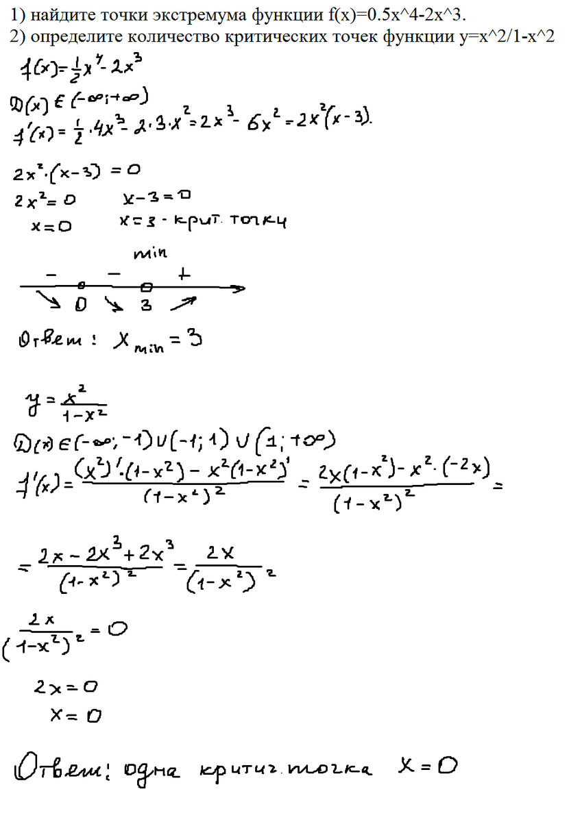
найдите точки экстремума функции f(x)=0.5x^4-2x^3. 2)определите количество критических точек функции у=x^2/1-x^2
Ответы
Ответ дал:
0
найдите точки экстремума функции f(x)=0.5x^4-2x^3.
f'=2x^3-6x^2=0
2x^2(x-3)=0
x=0
x=3
f(0)=0
f(3)=81/2-4*27/2=81/2-108/2=-27/2
2)определите количество критических точек функции у=x^2/1-x^2
x≠1
x≠-1
две критические точкми
f'=2x^3-6x^2=0
2x^2(x-3)=0
x=0
x=3
f(0)=0
f(3)=81/2-4*27/2=81/2-108/2=-27/2
2)определите количество критических точек функции у=x^2/1-x^2
x≠1
x≠-1
две критические точкми
Ответ дал:
0
Если понравилось решение - нажимай "спасибо" и "лучший" (рядом с кнопкой "спасибо") :)
Приложения:
Вас заинтересует
3 года назад
3 года назад
8 лет назад
11 лет назад
11 лет назад