• Предмет: Математика
  • Автор: dasazerebec
  • Вопрос задан 2 года назад

допоможіть будь ласка даю 100 балів
срочно​

Приложения:

Ответы

Ответ дал: iramazurk
1

Ответ:

-16 1/3

Пошаговое объяснение:

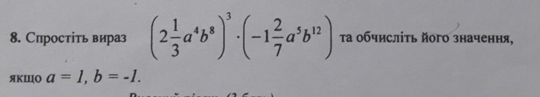
(2 1/3а⁴в⁸)³ * (-1 2/7а⁵в¹²) =

(2 1/3)³ * (а⁴)³ * (в⁸)³ * (-1 2/7) * а⁵ * в¹² =

(7/3)³ * а¹² * в²⁴ * (-9/7) * а⁵ * в¹² =

343/27 * а¹² * в²⁴ * (-9/7) * а⁵ * в¹² =

(343/27 * (-9/7)) * (а¹² * а⁵) * (в²⁴ * в¹²) =

(49/3 * (-1/1)) * а¹⁷ * в³⁶ =

-49/3 * а¹⁷ * в³⁶ = -49/3а¹в³

а = 1; в = -1

-49/3а¹⁷в³⁶ = -49/3 * 1¹⁷ * (-1)³⁶ = -49/3 * 1 * 1 =

-49/3 = -16 1/3

Вас заинтересует