Ответы
Ответ дал:
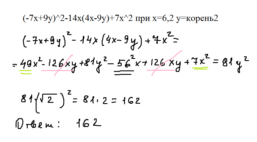
0
Если понравилось решение - нажимай "спасибо" и "лучший" (рядом с кнопкой "спасибо") :)
Приложения:

Вас заинтересует
2 года назад
8 лет назад
10 лет назад
10 лет назад
10 лет назад