• Предмет: Алгебра
  • Автор: grechanakasha228
  • Вопрос задан 2 года назад

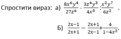
будь ласка допоможіть люди добрі

Приложения:

Ответы

Ответ дал: Nitr1x
1

Ответ:

Объяснение:

не благодари)

Приложения:
Вас заинтересует