• Предмет: Алгебра
  • Автор: lolmamkaponal
  • Вопрос задан 2 года назад

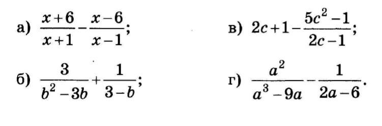
помогите пожалуйста, буду очень признателен и благодарен

Приложения:

Ответы

Ответ дал: tatsach
1

Ответ:

Объяснение:

.......

Приложения:
Ответ дал: glebkutenkin648
0

Ответ:

уже помогли? а то я решил уже

Вас заинтересует