• Предмет: Алгебра
  • Автор: noyneummm
  • Вопрос задан 2 года назад

Повний розв'язок!!! ​

Приложения:

Ответы

Ответ дал: diana132008ka
0

Відповідь:

розв'язання на

Пояснення:

Приложения:
Ответ дал: parus77
0

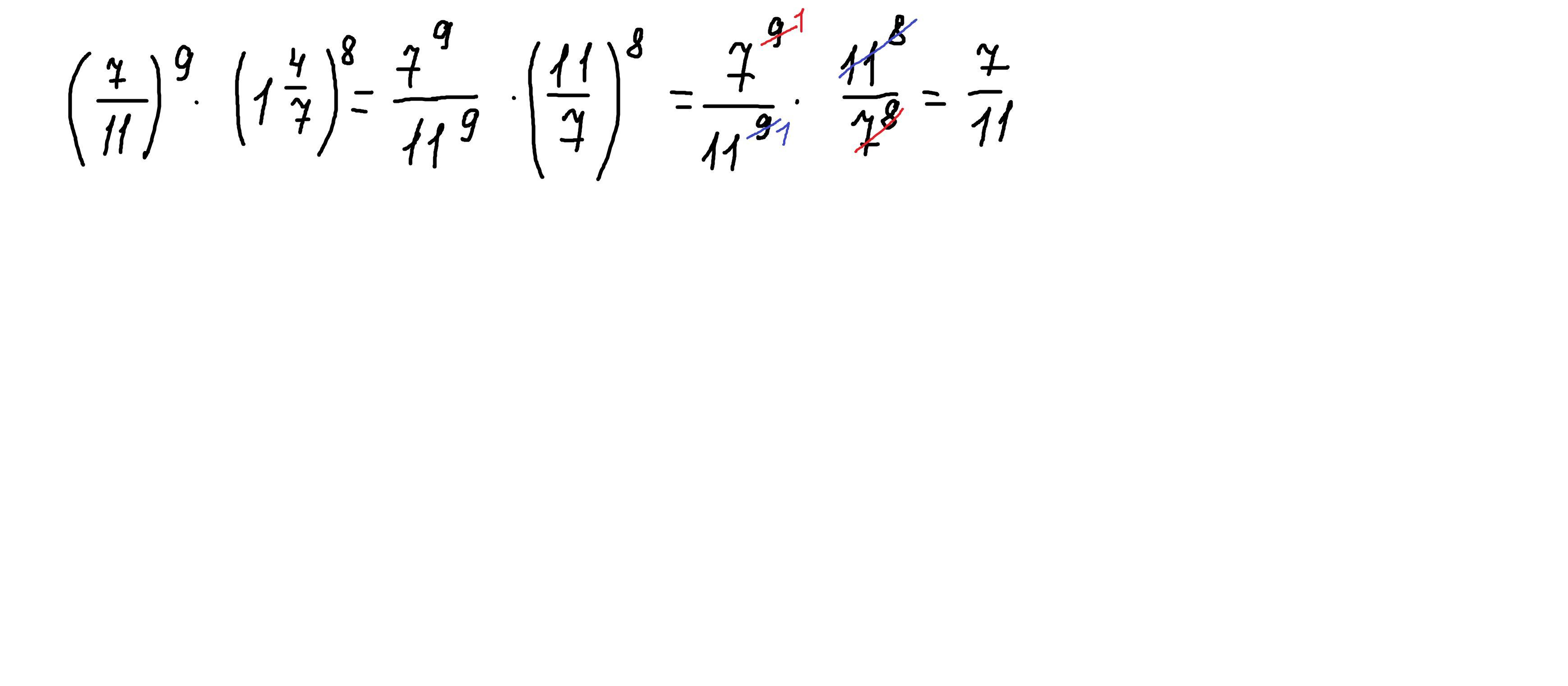
Ответ:

7/11

Объяснение:

решение внизу

Приложения:
Вас заинтересует