• Предмет: Алгебра
  • Автор: mamedbakievshamil
  • Вопрос задан 2 года назад

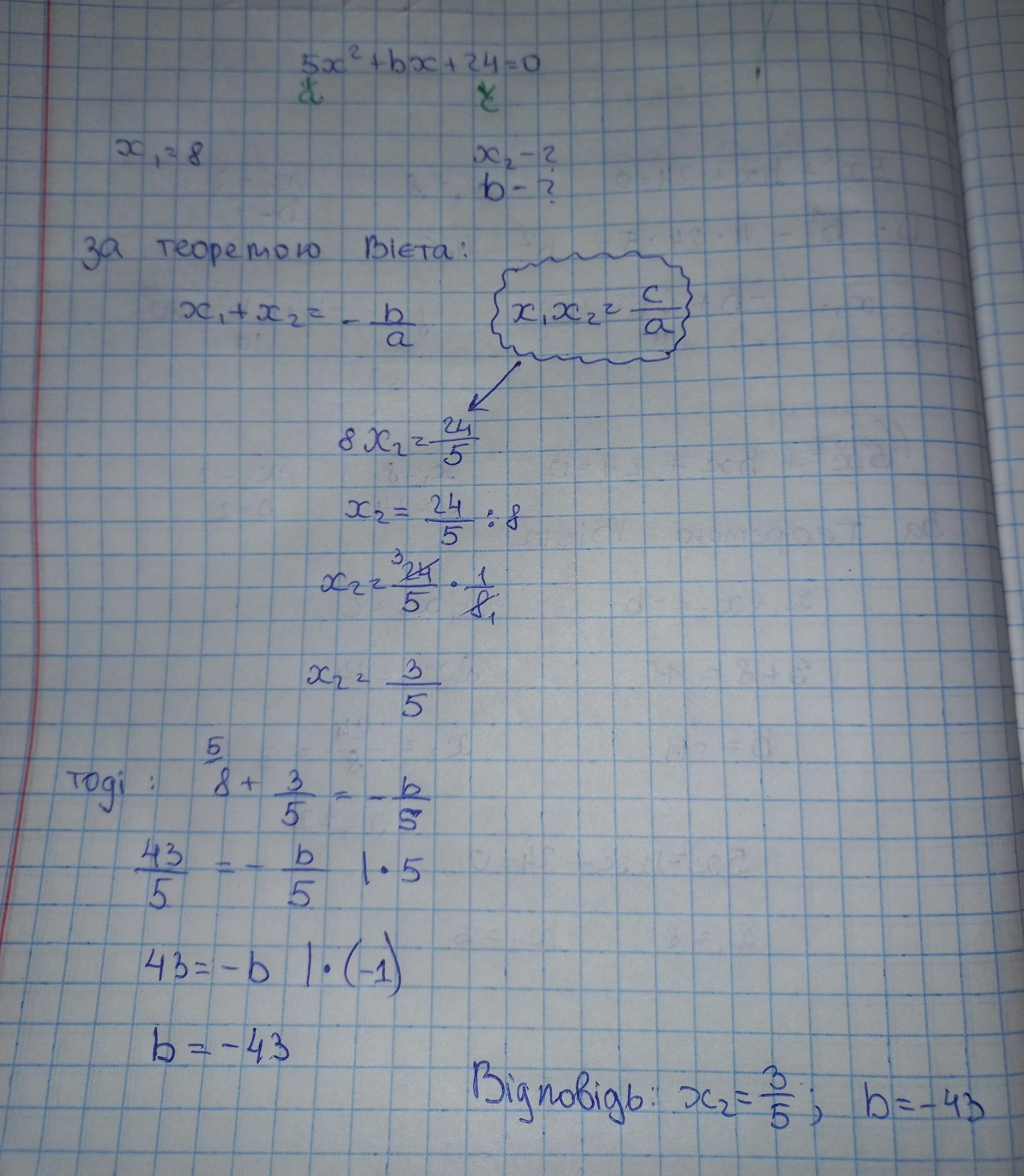
Один из корней уравнения
5x² + bx + 24 = 0 равен 8.
Найдите второй корень и b​

Ответы

Ответ дал: maydoncute
1

відповіді на фотографіїі

Приложения:

mamedbakievshamil: спасибо
Ответ дал: kirgizbaevamuborak
1

Ответ:

ты только не волнуйся

Удачи!


mamedbakievshamil: спасибо
Вас заинтересует