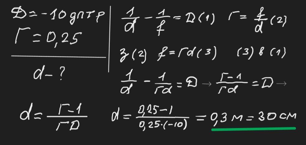
На якій відстані від розсіювальної лінзи з оптичною силою -10 дптр слід
розмістити предмет, щоб його збільшення становило 0,25?
Ответы
Ответ дал:
0
Відповідь: 30 см
Пояснення:
Приложения:

Вас заинтересует
1 год назад
1 год назад
1 год назад
1 год назад
3 года назад
3 года назад
8 лет назад