• Предмет: Алгебра
  • Автор: Ivandobro
  • Вопрос задан 2 года назад

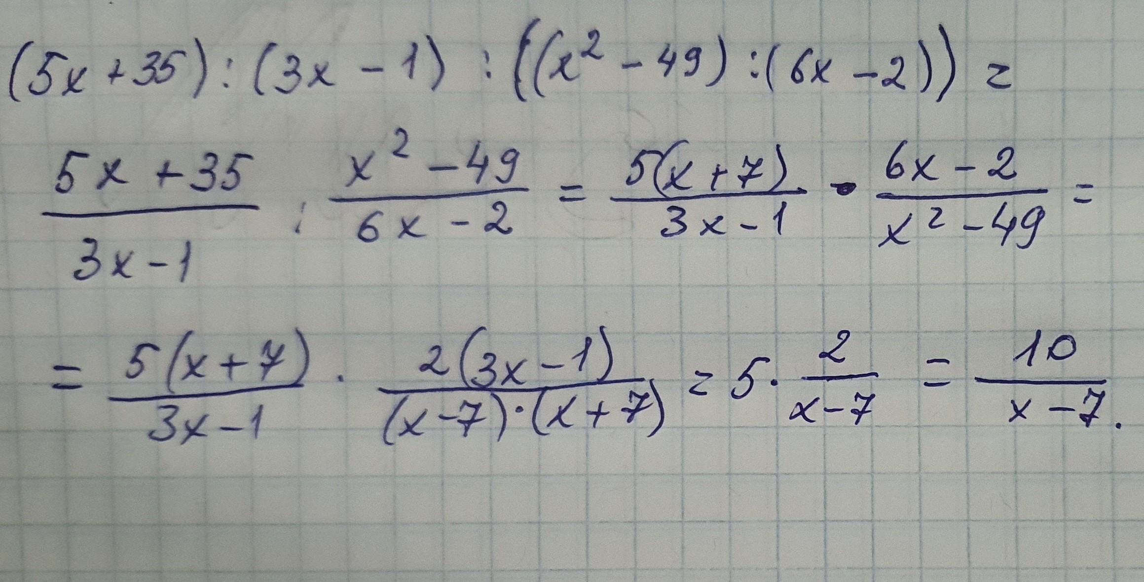
(5x + 35)/(3x - 1) / ((x ^ 2 - 49)/(6x - 2)) решить

Ответы

Ответ дал: dmushtariybonu02
1

Объяснение:

гуллабятлважжмдсдвллжалоалпп

Приложения:
Вас заинтересует