• Предмет: Математика
  • Автор: Salamanbra
  • Вопрос задан 2 года назад

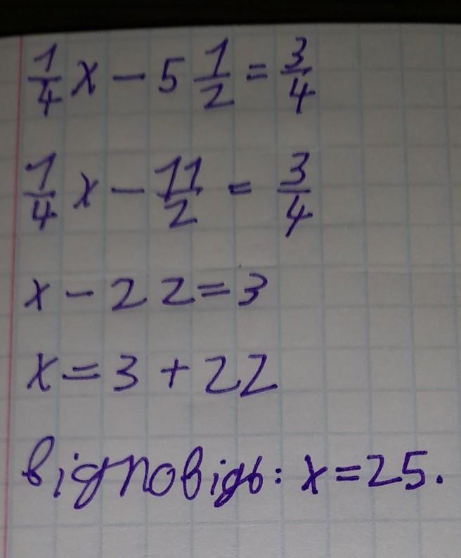
Допоможіть з рішенням! Знайти корінь рівняння 1 1/4х-5 1/2=3/4

Ответы

Ответ дал: shorom
0

Ответ:

смотри на фото

Пошаговое объяснение:

подпишись пж

Приложения:
Вас заинтересует