• Предмет: Математика
  • Автор: kristinaprincessa
  • Вопрос задан 2 года назад

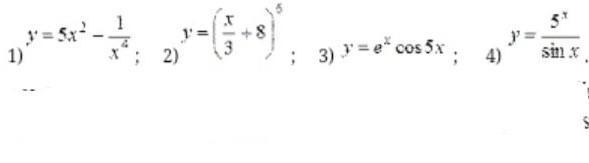
найдите производную функций:​

Приложения:

Ответы

Ответ дал: adilovaaa777
1

Ответ:

1,2,3,4 на фотке

Пошаговое объяснение:

вроде правильно * )

Приложения:

kristinaprincessa: спасибки
Вас заинтересует