• Предмет: Математика
  • Автор: lianakazimova23
  • Вопрос задан 2 года назад

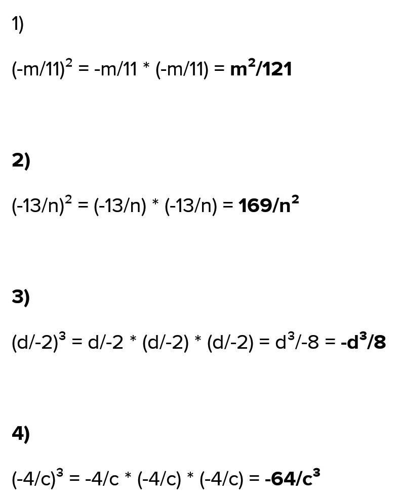
1)(-m/11)² 2)(-13/n)² 3)(d/-2)³ 4)(-4/c)³

помогите пожалуйста, у меня ограниченное время, даю пятьдесят баллов...!!! ​

Ответы

Ответ дал: shorom
0

Ответ:

смотри на фото

Пошаговое объяснение:

...........

Приложения:

lianakazimova23: спасибо большое выручил
Ответ дал: iramazurk
0

Пошаговое объяснение:

Смотри в прикреплённом файле

Приложения:
Вас заинтересует