• Предмет: Математика
  • Автор: nastabeletckaa
  • Вопрос задан 2 года назад

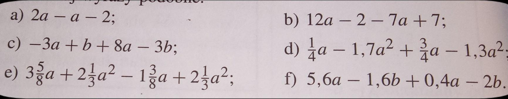
Спростіть подібні доданки ​

Приложения:

Ответы

Ответ дал: nazarovagulchehra0
0

Пошаговое объяснение:

a) 0

c) 5

b) 24а

Вот это ответ:

Вас заинтересует