Ответы
Ответ дал:
1
Ответ: x=2.5
Объяснение:
25√5 =
=> x=2.5
Ответ дал:
1
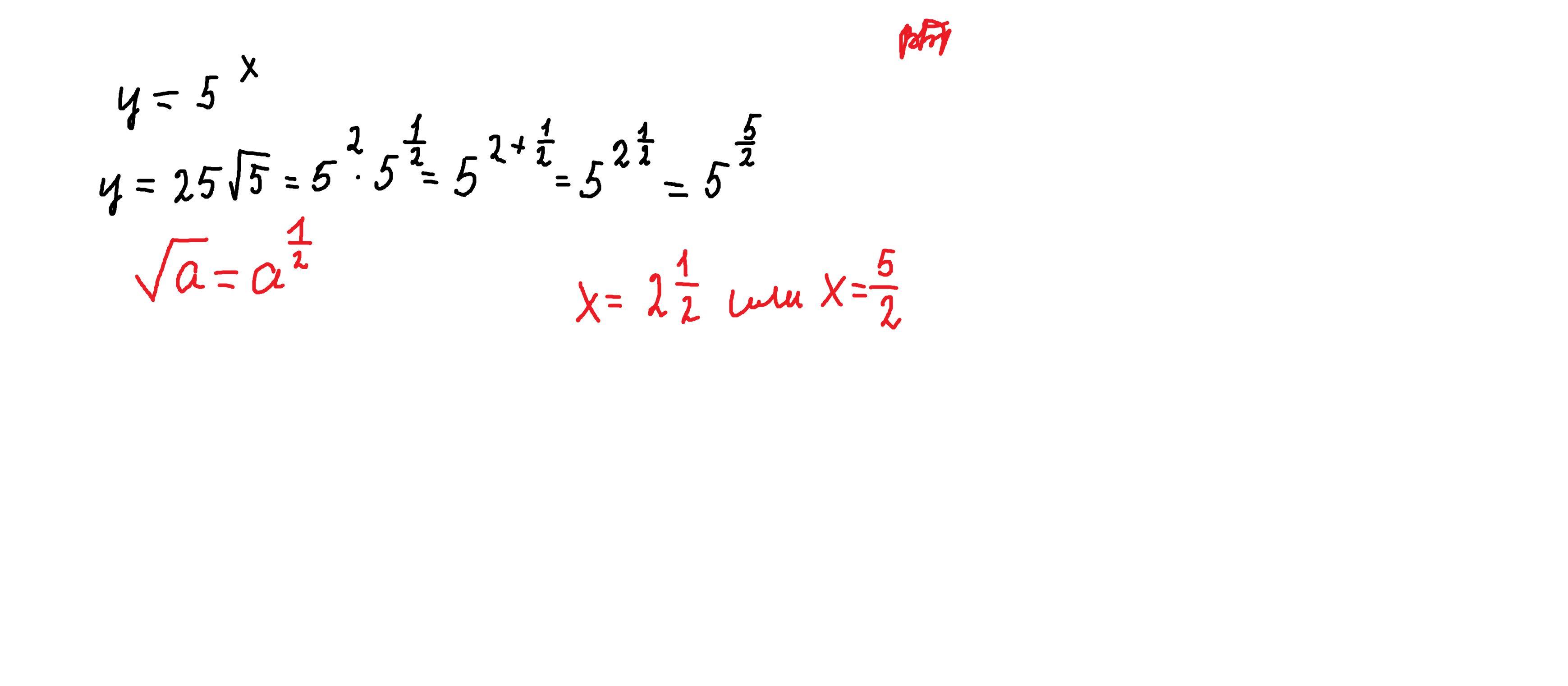
Ответ:
х=2 1/2 или х=5/2
Объяснение:
Приложения:

VITBITIK:
а можете пожалуйста помочь ещё с задачами у меня в профиле?
Вас заинтересует
1 год назад
1 год назад
1 год назад
1 год назад
3 года назад
8 лет назад