• Предмет: Физика
  • Автор: rokor520
  • Вопрос задан 2 года назад

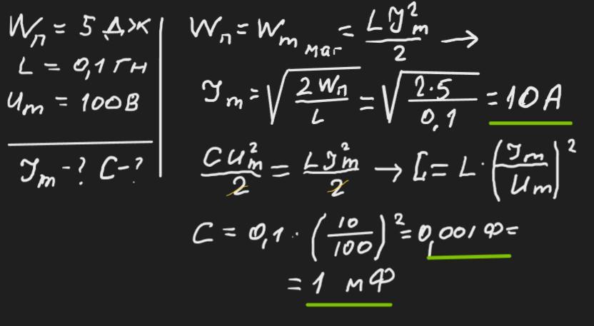
У контурі, індуктивність 0,1 Гн, виникають коливання, повна енергія
яких становить 5 Дж. Визначте амплітудне значення сили струму та
ємність конденсатора, якщо максимальне значення напруги становить 100 В.

Ответы

Ответ дал: Cohendd
2

Ответ:

Объяснение:.....

Приложения:

Cohendd: Пожалуйста
rokor520: навсяк случей напиши формулу Ymax
Cohendd: А это что?
rokor520: Ymax = корень(10/0,1)
Cohendd: Это сила тока прописная. I=10 Энергия W=L*Im²/2.
rokor520: ааааааааааа я понял Дякую
Cohendd: )))
zybkov1950: Не 10 мФ, а 1 мФ!
Cohendd: Ужас, кошмар! Перепутала силу Ампера с силой Архидеда-Лапласа....
Cohendd: Доброго утра и электричества! А я всё-таки попробую поспать.
Ответ дал: zybkov1950
2

Відповідь: 10 А        1 мФ

Пояснення: повна енергія коливань у коливальному контурі згідно закону збереження енергії дорівнює максимальній енергії магнітного поля ( в цей час  енергія електричного поля дорівнює нулю) та максимальній енергії електричного поля ( в цей час  енергія магнітного поля дорівнює нулю)

Приложения:

Cohendd: Супер! Класс!
Вас заинтересует