Ответы
Ответ дал:
0
Ответ:
[3; 7).
Объяснение:
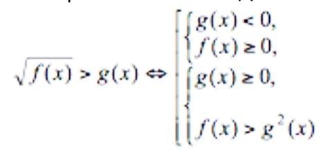
√(х-3) > х - 5
Рассмотрим два возможных случая:
1 случай:
Если х - 5 < 0, то х - 3 ≥ 0.
{х < 5,
{ х ≥ 3;
х є [3; 5).
2 случай:
Если х - 5 ≥ 0, то (√(х-3))² > (х - 5)²
{х ≥ 5,
{х - 3 > х² - 10х + 25;
{х ≥ 5,
{х² - 11х + 28 < 0
{х ≥ 5,
{(х-4)(x-7) < 0
{х є [5; +∞),
{х є (4;7)
х є [5; 7),
Объединим полученные решения:
х є [3; 5) и х є [5; 7), получим
х є [3; 7).
Приложения:

Вас заинтересует
1 год назад
1 год назад
1 год назад
1 год назад
3 года назад
8 лет назад