• Предмет: Физика
  • Автор: fidhcuk
  • Вопрос задан 2 года назад

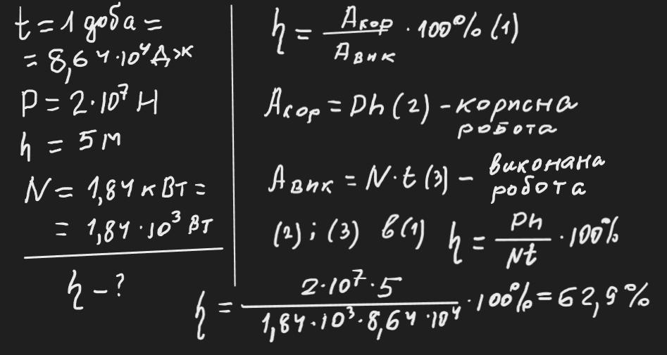
ДУЖЕ ТРЕБА! ДАЮ 100 БАЛІВ! Коментар до кожної дії

Приложения:

Ответы

Ответ дал: zybkov1950
0

Відповідь: ≈ 62,9 %

Пояснення:

Приложения:
Вас заинтересует