• Предмет: Математика
  • Автор: aiyanabotina
  • Вопрос задан 2 года назад

Помогите пж!!!! срочно надо!!! ​

Приложения:

Ответы

Ответ дал: dilarakasan171
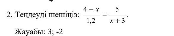
1

Ответ:

4-х•х+3=1,2•5

4х•3х=6

4х=6:3х

4х=2х

х=4:2

х=2

Вас заинтересует