• Предмет: Алгебра
  • Автор: evelinegrey
  • Вопрос задан 10 лет назад

Один пример на предел последовательности

Приложения:

Ответы

Ответ дал: nelle987
0
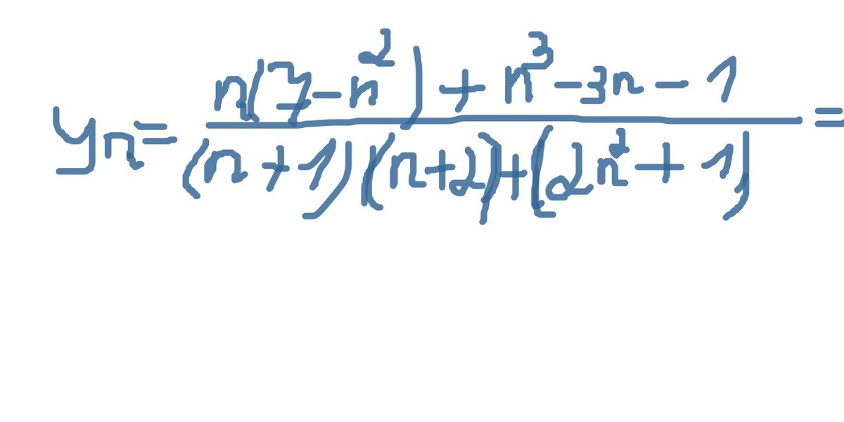
y_n=dfrac{n(7-n^2)+n^3-3n-1}{(n+1)(n+2)+(2n^2+1)}=dfrac{4n-1}{3n^2+3n+3}=dfrac{dfrac4n-dfrac1{n^2}}{3+dfrac3n+dfrac3{n^2}}to\to dfrac{0-0}{3+0+0}=0
Ответ дал: evelinegrey
0
вот оно как) спасибо большое!
Вас заинтересует