• Предмет: Геометрия
  • Автор: TukTuk56
  • Вопрос задан 10 лет назад

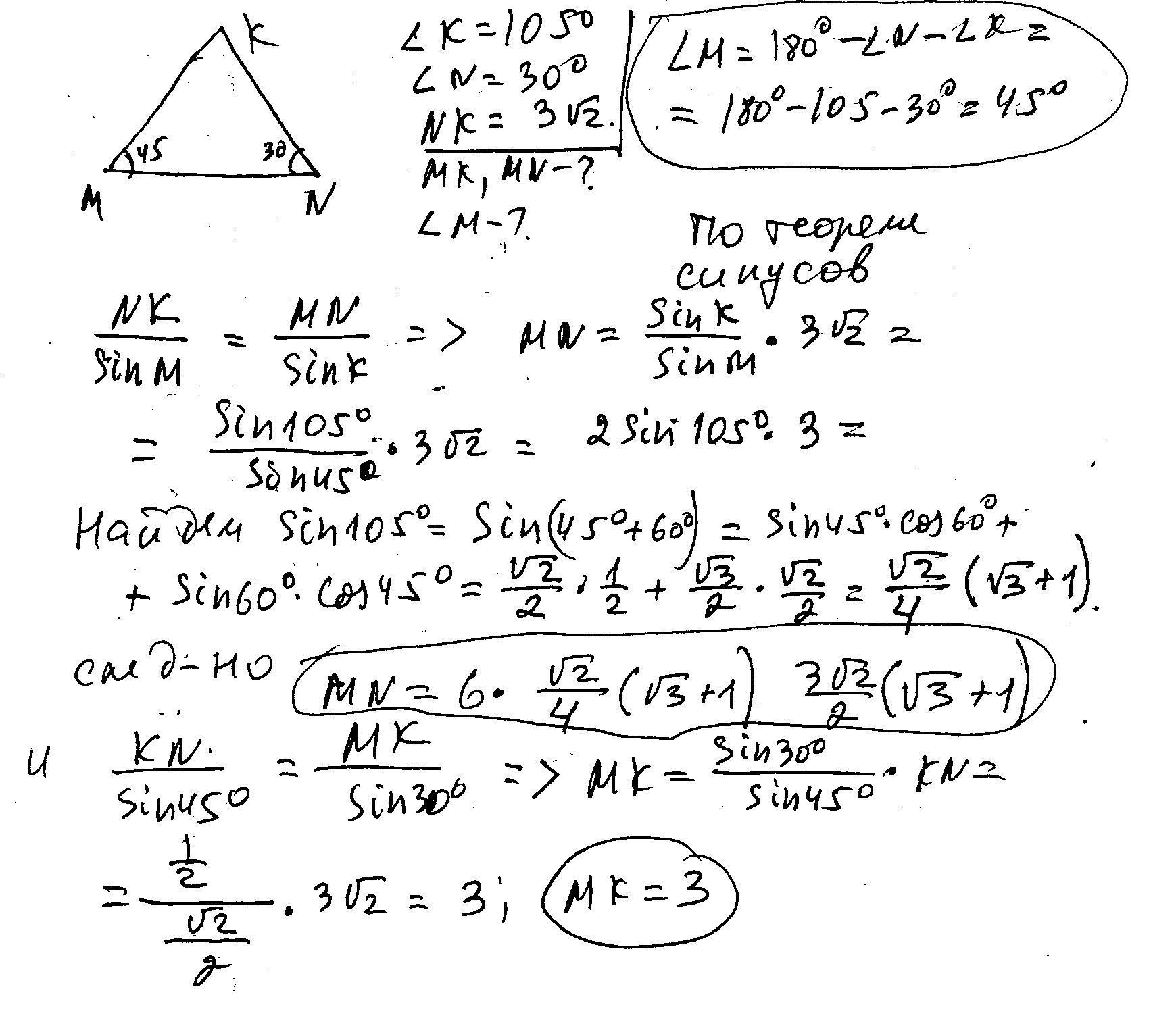
1)решите треугольник MNK, если угол N=30 градусов, угол K=105 градусов, NK= 3 корень из 2

Ответы

Ответ дал: ужнеужели
0
1)решите треугольник MNK, если угол N=30 градусов, угол K=105 градусов, NK= 3 корень из 2
Приложения:
Вас заинтересует