• Предмет: Математика
  • Автор: shyshkinroma2011
  • Вопрос задан 2 года назад

Пожалуйста быстрее.
Заранее спасибо.

Приложения:

Ответы

Ответ дал: iramazurk
1

Ответ:

1 9/16

Пошаговое объяснение:

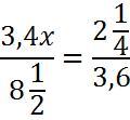
3,4х/ 8 1/2 = 2 1/4 / 3,6

3,4х * 3,6 = 8 1/2 * 2 1/4

12,24х = 17/2 * 9/4

1224/100х = 153/8

306/25х = 153/8

х = 153/8 : 306/25

х = 153/8 * 25/306

х = 1/8 * 25/2

х = 25/16

х = 1 9/16

Ответ дал: tamarabernukho
2

Ответ:

1 9/16

Пошаговое объяснение:

......................

Приложения:
Вас заинтересует