• Предмет: Алгебра
  • Автор: sofiaborovec647
  • Вопрос задан 2 года назад

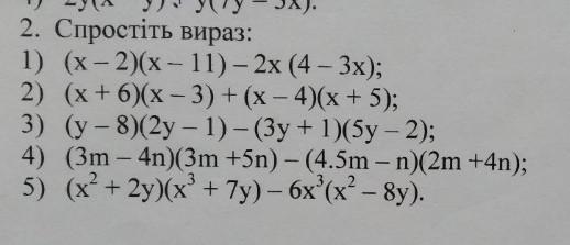
2. Спростіть вираз: 1) (x-2)(x - 11) – 2x (4 - 3x): 2) (x+6)(x-3) - (x – 4)(x - SH 3) (y - 8) (2y - 1)-(3x - 1)(5v-¹2); 4) (3m - 4n)(3m - 5n) – (4.5m – n)(2m +4n); 5) (x² + 2y)(x² + 7y) - 6x*(x² – 8y).​

Приложения:

Ответы

Ответ дал: playingfff
0

1)(х-2) (х-11)-2х(4-3х)=х^2-11х-2х+22-8х+6х^2=7х^2-21х+22

2) (х+6)(х-3)+(х-4) (х+5)=х^2-3х+6х-18+х+х^2+5х-4-20=2х^2+4х-3




sofiaborovec647: що означає цей знак ^ ?
sofiaborovec647: ????
Вас заинтересует