• Предмет: Математика
  • Автор: mile20110417
  • Вопрос задан 2 года назад

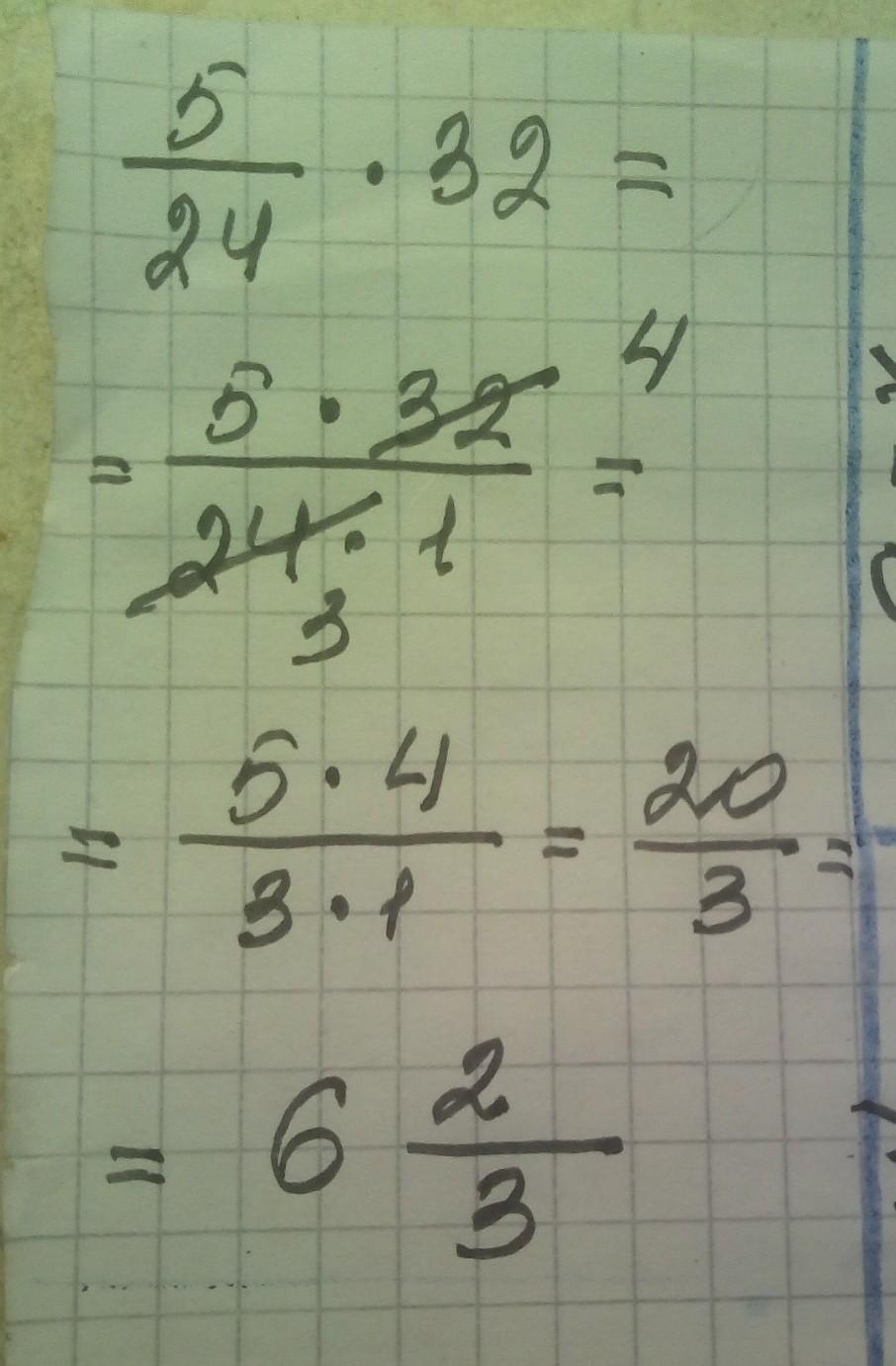
Виконайте дії: 5/24*32

Ответы

Ответ дал: Bоgdan228
0

Ответ:

6 2/3

Пошаговое объяснение:

Смотри действие на фото

Приложения:
Ответ дал: DARIA212100
0

Ответ:

Смотри

Пошаговое объяснение:

Приложения:
Вас заинтересует