2. Скільки треба спалити сухих дров, щоб нагріти 2,5 кг води від 15 до 76 °С, якщо для нагрівання води витрачається 79%
теплоти, що виділяється пiд час згорання сухих дров?
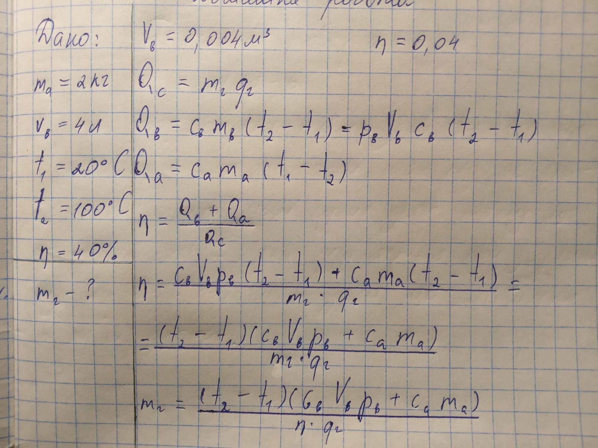
3. На нагрiвнику із ККД 38% в алюмінієвій каструлі масою 1,8 кгнеобхідно довести до кипіння 3,9 л води, що має температуру
17,5 °С. Визначте витрати гасу на нагрiвання води й каструлі.
Очень надо эти две задачи , даю 30 балов !!!!!!!
Ответы
Ответ дал:
0
Ответ:
где черный это 2 где синей ручкой 3
Приложения:


Вас заинтересует
1 год назад
1 год назад
1 год назад
1 год назад
3 года назад
8 лет назад