• Предмет: Математика
  • Автор: un7niknik
  • Вопрос задан 2 года назад

Срочно дам 100 на листочке пж​

Приложения:

Аноним: 1)5целых и из9 3 короче 9целых и 9/3

Ответы

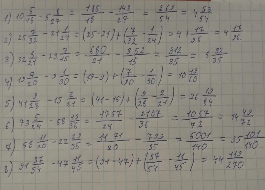
Ответ дал: Pshevka
2

Ответ:

)

Пошаговое объяснение:

............. ............

Приложения:

un7niknik: Спасибо
Pshevka: ))
vikalina833: В восьмом ошибочка
Pshevka: ні , її там немає)
vikalina833: Може в мене не вірно, дивно
Ответ дал: vikalina833
0
Если есть вопросы, спрашивай.
Ответ дан на фото. Удачи
Приложения:
Вас заинтересует