Ответы
Ответ дал:
0
Ответ:
вроде то
Пошаговое объяснение:
щнвншвншаншашнашнвншанша
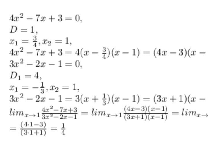
Приложения:

Вас заинтересует
1 год назад
1 год назад
3 года назад
8 лет назад