• Предмет: Алгебра
  • Автор: Meliodas05
  • Вопрос задан 2 года назад

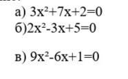
Решите квадратное уравнение:

Приложения:

Ответы

Ответ дал: saduakasadil7
1

Ответ:

а)Д=7²-(4×3×2)=49-24=25=5²

х1 и х2=-7±5/6

х1=-1/3

х2=-2

б)Д=(-3)²-(4×2×5)=9-40=-31 корней нет, так как D<0

в)Д=(-6)²-(4×9×1)=36-36=0

в случае, когда D=0, формулйо будет -b/2a

то есть:

-(-6)/2×9

6/18=1/3

Вас заинтересует