Помогите пжпжпжпжпжпжпжпжпж срочно помогите пдпжпжпжпжп, надо решить в столбик !!!!
Приложения:

Ответы
Ответ дал:
0
Ответ:
Пошаговое объяснение:
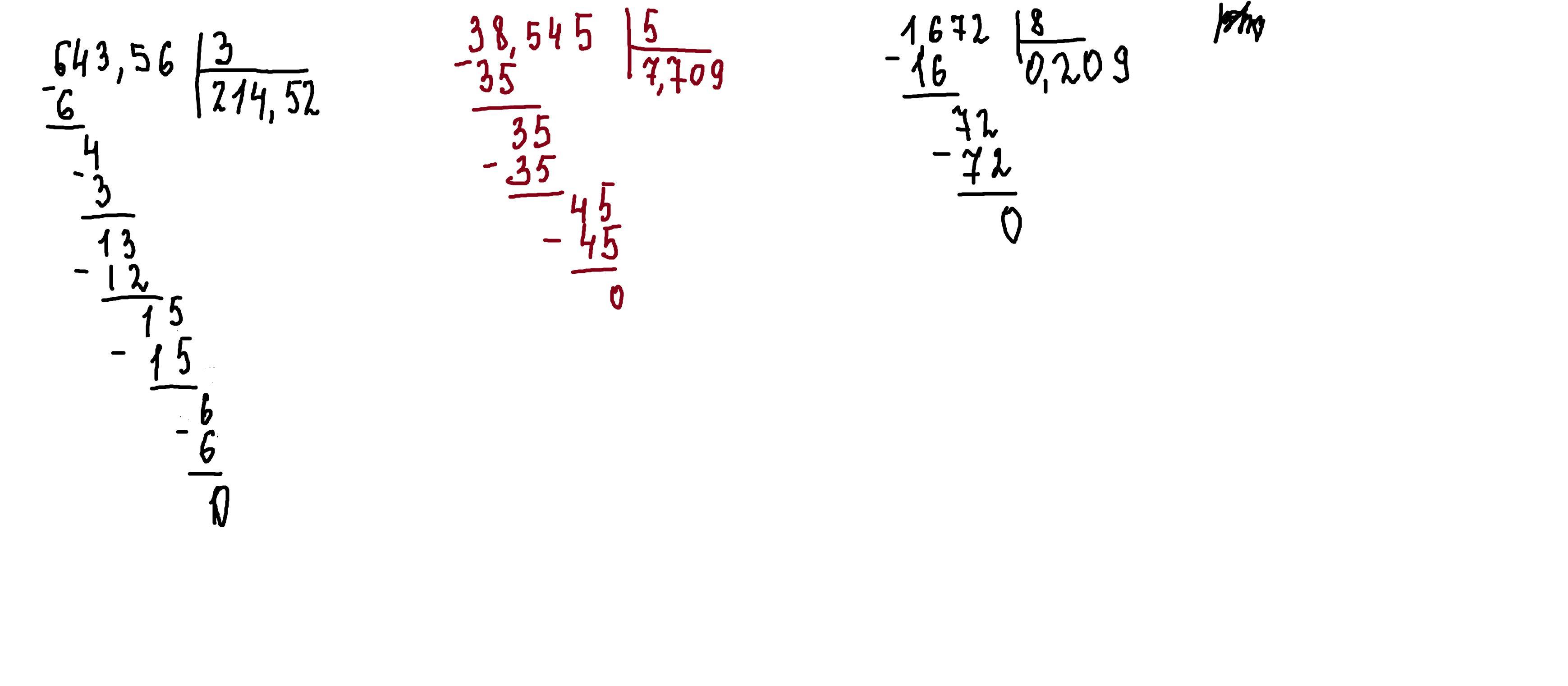
решение внизу
Приложения:


vovovovtvrara:
спасибо
Вас заинтересует
1 год назад
1 год назад
1 год назад
1 год назад
3 года назад
3 года назад
8 лет назад