• Предмет: Алгебра
  • Автор: ilukasuk3
  • Вопрос задан 2 года назад

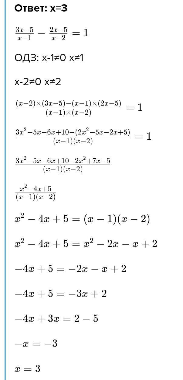
4. Розв'язати рівняння: 3x-5/x-1-2x-5/x-2=1​

Ответы

Ответ дал: bogdanapilipcuk310
1

.........................................

Приложения:
Вас заинтересует