• Предмет: Математика
  • Автор: nika972083666
  • Вопрос задан 2 года назад

Обчислити похідну функції
Номер 9.

Приложения:

Ответы

Ответ дал: dashulka22222
1

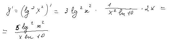
Відповідь:

Покрокове пояснення:

y'=(lg³x²)'=3lg²x²*1/(x²ln10)*(2x)=6lg²x²/(xln10)

Приложения:

nika972083666: Якщо можно ще раз написати, буду дуже вдячна❤️
А то не відкривається фото
dashulka22222: так краще?
nika972083666: Так , дуже дякую❤️
Вас заинтересует