• Предмет: Математика
  • Автор: nika972083666
  • Вопрос задан 2 года назад

Даю 60 балів
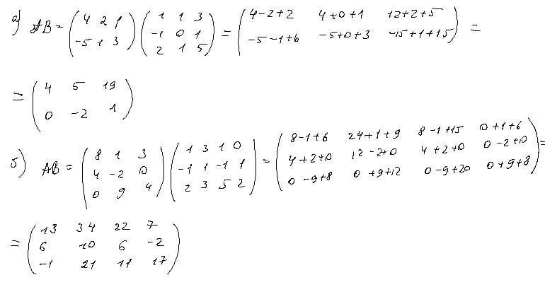
Матриці та операції над ними.
Знайти добуток матриць А і В
9 завдання ( там два завдання в ньому)

Приложения:

Ответы

Ответ дал: dashulka22222
0

Відповідь:

Покрокове пояснення:

Множимо рядки першої матриці на стовпчики другої матриці

Приложения:

nika972083666: Дуже тобі дякую! Якщо буду час , допоможи будь-ласка з моїми питаннями
Буду дуже тобі вдячна
Вас заинтересует