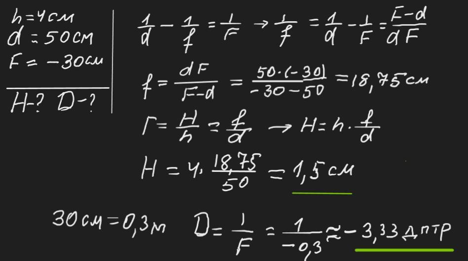
Предмет висотою 4 см розміщений на відстані 50 см від лінзи, фокусна відстань якої -30 см. Яка висота зображення цього
предмета?
Визначити оптичну силу лінзи.
Ответы
Ответ дал:
0
Відповідь: 1,5 см ≈ - 3,33 дптр
Пояснення:
Приложения:

Вас заинтересует
1 год назад
1 год назад
1 год назад
3 года назад