• Предмет: Математика
  • Автор: kurasan615
  • Вопрос задан 2 года назад

Помогите пжжжжж
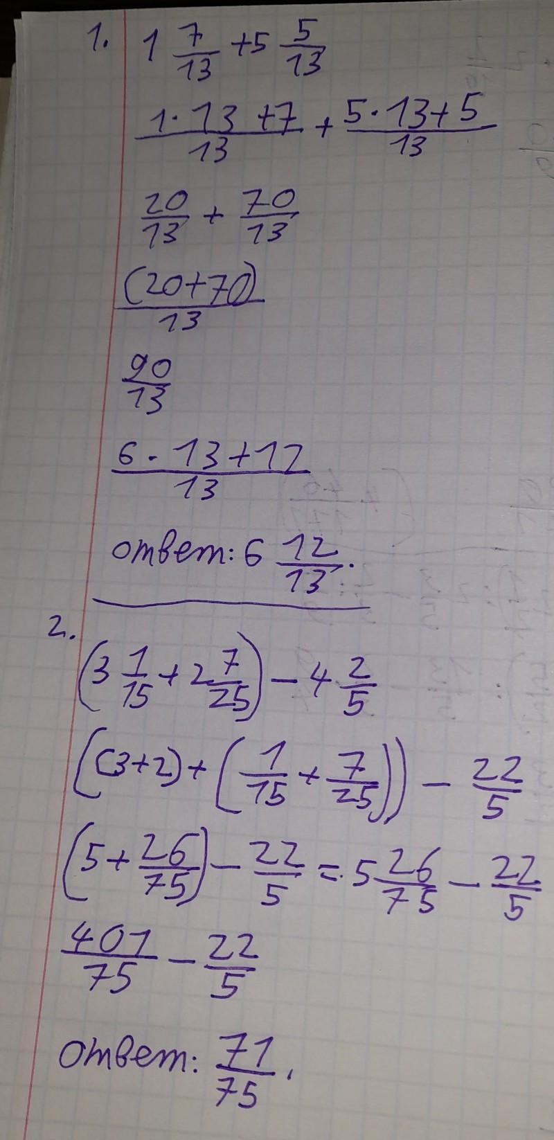
1 7/13 + 5 5/13
(3 1/15 + 2 7/25) - 4 2/5
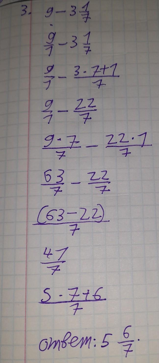
9-3 1/7

Ответы

Ответ дал: shorom
2

Ответ:

смотри на фотографии.

Пошаговое объяснение:

Постав лайк пж

Приложения:

kmartynuk48: ответь пж на геометрию в моем профиле умоляю
iramazurk: геометрию не знаю
Ответ дал: iramazurk
0

Пошаговое объяснение:

1 7/13 + 5 5/13 = 6 12/13

(3 1/15 + 2 7/25) - 4 2/5 = (3 5/75 + 2 21/75) - 4 30/75 = 5 26/75 - 4 30/75 = 4 101/75 - 4 30/75 = 71/75

9 - 3 1/7 = 8 7/7 - 3 1/7 = 5 6/7

Вас заинтересует