Ответы
                                            Ответ дал: 
                                                                                    
                                        
                                            
                                                
                                                
                                                
                                                    1
                                                
                                            
                                        
                                    Ответ:
смотри на фото.
Пошаговое объяснение:
.......
Приложения:
                     
                            
                                            Ответ дал: 
                                                                                            
                                                    
                                                
                                                                                    
                                        
                                            
                                                
                                                
                                                
                                                    1
                                                
                                            
                                        
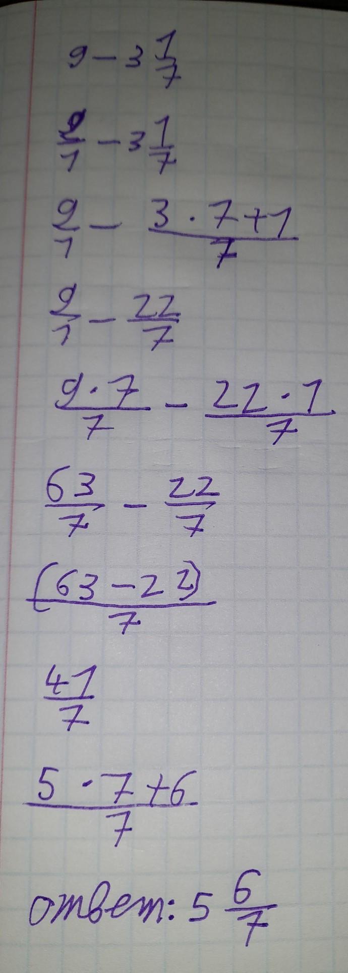
                                    9-3 1/7=5 6/7
9-3=6
6-1/7=5 6/7
                    
                    Поставь лучшим, мне немного не хватает до ранга отличник, пожалуйста :)
                
            Вас заинтересует
                
                        1 год назад
                    
                
                        1 год назад
                    
                
                        1 год назад
                    
                
                        1 год назад
                    
                
                        3 года назад
                    
                
                        3 года назад